HV-AN 1u-250 ISO21498
高压人工网络
HV-AN 1u-250 ISO21498 是一款用于电动汽车高压元器件发射测量的人工网络,用于模拟车辆线束的阻抗,以确定被试设备 EUT 的表现。其阻抗特性符合 ISO 21498-2、MBN 11123、BMW GS95023 和相关标准的要求。适用于测试中小功率的高压器件,如 DC-DC 转换器、车载充电器 OBC、小型电机逆变器等。
模块化设计
HV-AN 1u-250 ISO21498 基于模块化设计概念。每个模块包含 1uh 电感,1 uF 电容器和一个电阻值。一对 HV-AN 1u-250 ISO21498 构成了一套 HV+ 和 HV- 高压组件的供电线路。每个网络的电阻值和 EUT 电流均可单独设置。

基于模块设计概念的 HV-AN 1u-250 ISO21498
产品特性
1 uH | 1 uF HV-AN / LISN
符合 ISO 21498-2, MBN 11123, BMW GS 95023 及相关标准
高达 250 A 的 EUT 电流*
有 10、25 和 100m Ω 电阻可供选择
基于模块的设计概念
结构紧凑体积小
风冷
可选移动小车作为附件
* 最大电流值取决于电阻值,详细数据请参看官方技术参数表。
可选移动小车作为附件
基于 ISO 21498 标准的拓扑图
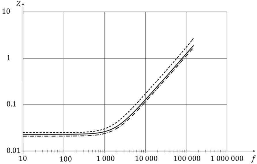
典型阻抗曲线
一对 10m Ω 网络,符合 ISO 21498 标准的典型阻抗曲线:

可选型号
|
|
最大 EUT 电流 |
|
|
环境温度 |
TA ≤ 25°C |
TA ≤ 30°C |
|
HV-AN 1u-250 |
||
|
2 x 10 mΩ |
283 Arms |
255 Arms |
| 2 x 25 mΩ | 179 Arms |
161 Arms |
| 2 x 100 mΩ | 89 Arms | 81 Arms |
* EUT 最大电流取决于所选型号。
想了解详细技术参数或获取官方技术资料,现在就联系日图科技吧!
深圳总部:广东省深圳市南山区留仙大道南山
云谷创新产业园二期6栋一楼东座
0755-8368 0722(8线)
1403880343
公众号
视频号
哔哩哔哩
抖音
粤公网安备 44030502008393号